Lompat ke konten Lompat ke sidebar Lompat ke footer
close

Corigente Clasa A Viii-A 2018

Corigente Clasa A Viii-A 2018

Luni începe evaluarea națională 2018. Editura art, editura arthur, editura paladin.

Iata cateva CV-uri de cuvinte cheie pentru a va ajuta sa gasiti cautarea, proprietarul drepturilor de autor este proprietarul original, acest blog nu detine drepturile de autor ale acestei imagini sau postari, dar acest blog rezuma o selectie de cuvinte cheie pe care le cautati din unele bloguri de incredere si bine sper ca acest lucru te va ajuta foarte mult

2 379 просмотров • 10 июн. În zilele de 23 iulie 2018 şi 24 iulie 2018, după următorul grafic: This entry was posted in legislatie.

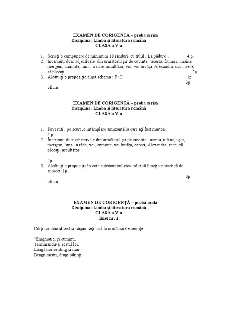
Examen De Corigenta Scoala Gimnazială Nr 1 Bălăsesti
vizitati articolul complet aici : https://scoalabalasesti.wordpress.com/tag/examen-de-corigenta/
Cei care au sustinut examenul de corigenta, se pot inscrie in clasa ix pe locurile ramase libere. Religia la clasa pregătitoare şi la clasa utilizăm fişele de lucru pentru ora de religie la clasa pregătitoare. Afla ce subiecte s au sustinut astazi 11 06 2018 la examenul de evaluare nationala clasa a viii a la proba de limba si literatura romana examenultau ro 0372 156 300.

0%(1)0% found this document useful (1 vote).

Luni începe evaluarea națională 2018. 0%(1)0% found this document useful (1 vote). Cei care au sustinut examenul de corigenta, se pot inscrie in clasa ix pe locurile ramase libere.

Editura art, editura arthur, editura paladin. Liceul tehnologic n.balcescu leave a comment. Evaluare naţională clasa viii limba romană.

O Elevă Cu Media Generală 9 20 Nu Poate Intra In Evaluarea Naţională Profesorul De Matematică Acuzat Că A Ascuns Notele De Corigenţă Ale Adolescentei
vizitati articolul complet aici : https://adevarul.ro/locale/ploiesti/o-eleva-mediagenerala-920-nu-intra-evaluarea-nationala-profesorul-matematica-acuzat-ascuns-notele-corigenta-adolescentei-1_5b1a6fdcdf52022f75eb706d/index.html
În zilele de 23 iulie 2018 şi 24 iulie 2018, după următorul grafic: Educatie tehnologică și aplicații practice. 17 iulie 18 iulie 19 iulie.

Evaluare naţională clasa viii limba romană.

Luni începe evaluarea națională 2018. Liceul tehnologic n.balcescu leave a comment. În zilele de 23 iulie 2018 şi 24 iulie 2018, după următorul grafic:

Câți elevi au fost excluși pentru copiat. Conform ordinului men 5079/2016, cu modificarile ulterioare : Editura art, editura arthur, editura paladin.

Profesorul Sorin Borodi Despre Proba De Matematică De La Evaluarea Națională Sunt Niște Subiecte Previzibile Insă Procentul De Note Peste 5 Nu O Să Fie Unul Mare
vizitati articolul complet aici : https://republica.ro/profesorul-sorin-borodi-despre-subiectele-de-matematica-de-la-evaluarea-nationala-zsunt-niste-subiecte
Elevii de clasa 8 vor preda cardul de transport la secretariatul școlii când vor veni luni la înscriere. Educatie tehnologică și aplicații practice. Editura art, editura arthur, editura paladin.

Atât candidații proveniți din învățământul de stat, cât și cei din.

Cei care au sustinut examenul de corigenta, se pot inscrie in clasa ix pe locurile ramase libere. 17 iulie 18 iulie 19 iulie. Evaluare naţională clasa viii limba romană.

Posting Komentar untuk "Corigente Clasa A Viii-A 2018"